Calcul du niveau de performance atteint par un système de commande relatif à la sécurité (SRP/CS) selon ISO 13849
Cette application permet de calculer le niveau de performance (PL), selon la norme ISO 13849: 2023, atteint par la partie du système de commande relatif à la sécurité (SRP/CS). L’animation montre l’influence des choix de conception, catégorie, le MTTFd, le DCd et les CCF, sur le niveau de performance atteint.
Guide d'utilisation
La zone 1 supérieure (cadre jaune) est la zone de présentation des résultats en fonctions des catégories, des MTTFd et DC sélectionnés dans la zone inférieure (zone 2). Cette zone 2 inférieure (cadre violet) est une zone de saisie et de sélection découpée en trois parties (entrée, traitement et sortie).
Outil logiciel de calcul PL, pour la mise en œuvre de la norme EN ISO 13849-1
pour la mise en œuvre de la norme EN ISO 13849-1 . A noter que SISTEMA pour Vous pouvez télécharger le logiciel SISTEMA et son mode d’emploi gratuitement ici : Téléchargement SISTEMA.
Calcul du MTTFd pour les composants pneumatiques, mécaniques et électromécaniques
Pour les composants simples pneumatiques, mécaniques et électromécaniques (distributeurs, relais, contacteurs, détecteur de position mécanique), il est souvent difficile de déterminer le MTTFD nécessaire au calcul du PL. Ces composants ayant des défaillances sujettes à usure mécanique et conditions d’utilisation, les fabricants fournissent plutôt une valeur B10 ou B10D, correspondant au nombre moyen de cycles après lequel 10 % des composants présentent une défaillance (globale ou dangereuse).
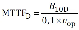
La norme propose une méthode permettant d’estimer le MTTFD à partir de la valeur B10 ou de la durée de vie (T10) fournie par le fabricant, en tenant compte du nombre de cycles lié à l’application.
Avec B10D et nop, le nombre moyen annuel d’utilisations, le MTTFD d’un composant peut être calculé ainsi :
hop est le nombre moyen d’heures d’utilisation par jour;
dop est le nombre moyen de jours d’utilisation par année;
tcycle est le temps moyen de fonctionnement avant le début de deux cycles successifs du composant
(par exemple, commutation d’une vanne) en secondes par cycle.
Norme de référence : EN ISO 13849-1 : sécurité des machines – parties des systèmes de commande relatives à la sécurité – Partie 1 : Principes généraux de conception
